| Mark Page | University of California, Santa Barbara |
| Jenifer Dugan | University of California, Santa Barbara |
Graduate Student: Jason Bram
Background
Offshore oil platforms provide hard attachment sites for an array of sessile animal species, including barnacles, mussels, scallops, tunicates, bryozoans, and sea anemones. In an otherwise soft-bottom environment these platforms provide habitat for a diverse community of invertebrates that otherwise would not exist there. In addition, the sessile invertebrate community provides habitat and food for many small mobile invertebrates, such as gammaridean and caprellid amphipods, as well as for larger invertebrates and fishes. In general, previous studies of platform invertebrate communities have been descriptive in nature, with little investigation of the processes that influence development and structure of this community. We are quantifying the role of selected physical and biological factors in the rate of accumulation and structure of the invertebrate community on two platforms in the Santa Barbara Channel.
Using platforms “Houchin” and
“Hogan” (Pacific Operators Offshore), we are:
(1) quantifying changes in biomass and community composition on these structures
over time following maintenance cleaning, (2) using experimentally scraped
surfaces and plates to evaluate the effects of time from disturbance,
time-of-year, and depth on the early development of the invertebrate community;
this includes testing the models of facilitation and inhibition in order to
better understand the effect of the presence of a species on community
development, (3) determining relationships between the species composition,
biomass, and thickness of the fouling community and rates of faunal litterfall
to the benthos, and (4) quantifying the growth of organisms of economic and
biological importance. Our research will contribute to decisions regarding
platform cleaning and maintenance operations and the design of platform
structures.
Summary of Research
Research progress 1999-2000
We are measuring the accumulation of biomass (as dry weight) at three depths (6 m, 12 m, and 18 m) on vertical support members (n=4 members) using three techniques: (1) samples obtained from ceramic tiles placed on Platform Houchin and subsequently exposed for various intervals (2-month, 4-month, 6-month, 12-month, 24-month), and (2) samples obtained from the destructive sampling of experimental plots (20x20 cm) on the support members at 2-month, 4-month, 6-month, and 12-month intervals. For the latter samples, each quadrat is scraped and vacuumed to remove settled invertebrates from the plot. Our third technique estimates the biomass of the organisms settling on more structurally complex settlement surfaces (plastic mesh tuffys), which are deployed and collected monthly. The tiles and tuffys are attached by cable ties to a PVC frame reinforced with rebar, which was attached to each vertical support member with cable ties. The experimental plots are located just below the frames on the support members. The percent cover of dominant organisms on the tiles is determined in the laboratory using point contact methods. The percent cover of dominant organisms in the experimental plots will be determined from photographs taken with a digital camera and image analysis software. The tiles are also photographed after their retrieval. We have initiated the image analysis of the photographic record and will begin formal analyses during the next 3 months.

Figure 1. Comparison of biomass accumulation on tiles from Platform Houchin exposed for intervals of 2, 4, or 6 months. (x± 1SE, n= 4 tiles).
A general pattern found on all of the experimental surfaces (tiles, tuffys, scraped areas) is illustrated in Figure 1: biomass decreases with depth at all time periods between disturbances, with the 6 m depth having a much greater biomass accumulation than the deeper depths. In addition, Figure 1 shows temporal variation in biomass accumulation with the lowest values in April. Also evident is the much greater biomass as time between disturbances is increased, with over 20 times the biomass at the 6-month disturbance time at 6 m compared to the 2-month disturbance time at the same depth. It is interesting to note that mussel recruitment has been extremely low on these surfaces when compared to other studies on platforms in the Santa Barbara Channel (data not shown).

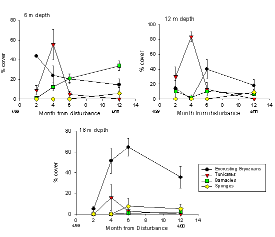
Figure 2. Changes in percent cover of selected invertebrate taxa over time on ceramic tiles at Platform Houchin at depths of 6, 12, and 18 m (x± 1SE, n=4 tiles).
Community composition on the tiles changes over time and among depths (Fig. 2). For example, at a depth of 6 m, encrusting bryozoans dominate early, followed by a gradual decrease in the cover of this taxa and an increase in the cover of tunicates. However, the cover of tunicates decreases to 0% after 12 months. Barnacles show a continual increase in percent cover, and sponges slowly begin to become part of the assemblage after 12 months. At the 12 m depth, the tunicates dominate early, with a large increase in cover after 4 months of exposure time. However, the cover of tunicates at this depth decreases to 0% after 12 months. At the 18 m depth, the community takes longer to develop, with little coverage from any group of organisms after 2 months. Both the tunicates and encrusting bryozoans show an increase in cover after 4 months, with the bryozoans being dominant.
We are also estimating the rates and composition of faunal litterfall from the invertebrate community using circular plastic hoops with attached mesh bags as “traps”. The faunal litterfall traps are located on Platform Hogan at a depth of 18 m (n=8 traps). On average, we have collected approximately 200 g/trap of litterfall monthly. Mytilus galloprovincialis is the dominant component of these samples to date. We are also measuring the thickness of and photographing the invertebrate community at Platform Hogan, quarterly at depths from 6 m to 18 m. The thickness and cover of the invertebrate community has generally increased over time at all depths.
To compare relative flow among depths we have attached clod cards to each PVC frame at each depth (n=12). Early data suggest that water flow is lower at deeper depths, a result that corresponds with our observations of a lower biomass and invertebrate species richness, although more samples will be taken.
To examine the effects of dominant space occupying species on the early development of the invertebrate community we are conducting removal experiments using the anemone, Anthopleura elegantissima, and the mussels, Mytilus californianus and M. galloprovincialis. Experimental removals were initiated in April and data will be collected through the next year, using a digital camera. We predict that mussels or other species will colonize plots in which the anemones are removed more rapidly than control plots, if anemones consume or otherwise interfere with settling larvae. Similar predictions can be made for the mussel removal plots, which we predict will have other species colonizing these areas more rapidly than control plots with mussels present.
To quantify temporal and spatial variation in commercially important and dominant organisms on the platforms we measure the sizes of all mussels, scallops, urchins and crabs and barnacles collected. These measurements will allow us to compare the growth rates of selected species over time and at different depths.
Over the next year we will continue to deploy, retrieve, and measure invertebrates from the tiles, the tuffys, and the experimental plots. Video photoplots will be analyzed, and sampling will continue as described above. The litterfall will be collected monthly. The thickness of the invertebrate community will will be measured quarterly. Video data from the removal experiments will be collected and analyzed and flow data will be collected. Continued sampling and analysis of the data will provide greater insight into the factors that influence the early development of the invertebrate communities on offshore oil platforms.
Research Progress 2000-2001
We continued to measure spatial and temporal patterns in development of the invertebrate community at depths of 6, 12, and 18 m on Platform Houchin. Invertebrates were sampled on two types of settlement surfaces (tiles, tuffys) attached to frames and on conductor pipes. Tiles were retrieved after a 2 or 4-month exposure time at all depths in August. Tuffys were retrieved monthly at all depths. Permanently marked 20 cm x 20 cm quadrats on conductor pipes at Houchin, scraped at intervals of 2, 4, 6, and 12 months, were photographed in July and September. Vacuum samples from these 2, 4, 6, and 12-month treatments were collected at all depths in July and 2-month treatments were collected in September. Removal experiments using the anemone, Anthopleura elegantissima, and the mussel, Mytilus californianus, were monitored monthly at a depth of 9 m. Faunal litterfall traps, deployed at a depth of 18 m, were monitored monthly at Hogan. Planktonic larval collection and clod card deployment at 6, 12, and 18 m was initiated in July, and continued monthly.
For the tiles and vacuum samples, biomass varied significantly among exposure times and depths. For the 2-month and 4-month exposure periods on the tiles, mean dry biomass increased with exposure time and decreased with depth. For the 2-month, 4-month, 6-month, and 12-month exposure periods on the vacuum samples, mean dry biomass also increased with exposure time and decreased with depth.
On average, 167 g of animal biomass was collected monthly from each faunal litterfall trap, with a high of 212 g in August and a low of 119 g in September. Mussels, (Mytilus galloprovincialis) comprised most of the faunal litterfall by weight.
Clod cards, used to determine relative flow between the depths, indicated that the flow at the 6 m depth was significantly greater than the flow at the deeper depths in all months.
Research Progress 2001-2002
During the first quarter, we continued to measure spatial and temporal patterns in development of the invertebrate community at depths of 6, 12, and 18 m on Platform Houchin. Permanently marked 20 cm x 20 cm quadrats on conductor pipes at Houchin, scraped at intervals of 2, 4, 6, and 12 months, were photographed in August. Vacuum samples from the 2, 4, 6, and 12-month treatments were collected at all depths in August. Biomass of the experimentally scraped plots varied significantly among exposure times (2, 4, 6 and 12 months) and depths. Mean biomass decreased with depth and increased with exposure time for all treatments and was significantly greater at the 6 m depth than at the 12 and 18 m depths for all exposure times.
The plumose anemone, Metridium senile, an abundant member of the invertebrate community on offshore oil platforms, may be an important competitor for space. To investigate the role that this anemone plays in the development of the platform invertebrate community, we initiated an anemone removal experiment at Platform Houchin in September. Anemones are removed from randomly selected artificial surfaces (ceramic tiles attached to PVC frames) at depths of 6, 12, and 18 m and allowed to accumulate naturally on other artificial surfaces at the same depths. We will measure biomass and the percent cover of the taxa present among treatments.
We continued to analyze data on species composition and percent cover of invertebrates that colonized ceramic tiles (15x15 cm) exposed for various time intervals (2, 4, 6, 12, 24 months) at depths of 6, 12, and 18 m at Platform Houchin from April 1999 to April 2001. Patterns of accumulation of biomass on the ceramic tiles were similar to those observed in the experimentally scraped plots (see above). Analyses of variance and subsequent post hoc tests on the mean biomass and percent cover of selected taxa present on the ceramic tiles showed that biomass was significantly greater at the 6 m depth than at the two deeper depths. Mean biomass also significantly increased with exposure time across all depths and varied significantly among dates of initial tile immersion. Invertebrate community development and the percent cover of selected taxa on the tiles also varied significantly over time, among depths, and among dates of initial tile immersion.
In August, faunal litterfall was collected and measured from traps deployed at a depth of 18 m at Platform Hogan. The average biomass of faunal litterfall found in August (1151.25 g) was the greatest amount observed to date (two years). It was approximately three times that observed during the previous August (2000) and ~35% higher than the preceding month (July, 2001). Mussels, (Mytilus galloprovincialis) comprised most of the faunal litterfall by weight.
During the second and third quarters of the 2000-2001 fiscal year, we continued data analysis on the species composition, biomass and percent cover of invertebrates that colonized ceramic tiles (15x15 cm) exposed for various time intervals (2, 4, 6, 12, 24 months) at depths of 6, 12, and 18 m at Platform Houchin. We also continued data analysis on the percent cover and biomass of invertebrates that colonized experimentally scraped 20 cm x 20 cm quadrats on conductor pipes and plastic mesh tuffys at depths of 6, 12, and 18 m at Platform Houchin from April 1999 to April 2001. The removal experiment using the anemone, Metridium senile, was monitored at Houchin at depths of 6, 12, and 18 m.
Preliminary analysis shows that biomass on both the experimental surfaces and the surface of the platform itself increased significantly over time at all depths, and varied among depths. Biomass was significantly greater at the 6 m depth than at the two deeper depths. Additionally, there was a greater rate of biomass accumulation in the second year of the study at all depths. The amount of biomass on these surfaces also varied with the time of year. Percent cover of selected taxa on the tiles varied significantly over time, among depths, and among dates of initial exposure of the surface, and between the two years of the study, with the greatest temporal effects evident at the 6 m depth. The successional sequence in the appearance and cover of taxa over time was strongly influenced by depth and year. For example, in year one, compound tunicates and encrusting bryozoans had the greatest cover in both the 2 month and 4 month exposure time at all depths, while in year two, compound tunicates were the sole dominant taxon at the 2 month interval at the 6 m and 12 m depths, and were co-dominant with encrusting bryozoans at the 18 m depth. At the 4 month interval, barnacles were dominant at the 6 m depth. The longer exposure times showed these differences between depths and years as well. For example, in year one at the 12 month exposure time, barnacles were dominant at the 6 m depth, encrusting bryozoans, barnacles, and sponges were dominant at the 12 m depth, and encrusting bryozoans were dominant at the 18 m depth. In year two for the 12 month exposure period, barnacles and sponges were both dominant at the 6 m and 12 m depths, while barnacles, sponges, and encrusting bryozoans were dominant at the 18 m depth.
Preliminary analyses of barnacle size distributions on the experimental surfaces indicates that growth rate was significantly more rapid at shallower depths. In addition, growth rate was significantly more rapid in year one compared with year two at all depths. Barnacles were significantly more abundant in year two than year one at all depths and for all exposure times.
Biomass on both the experimental surfaces and the surface of the platform itself increased significantly over time at all depths, and varied among depths. Biomass was significantly greater at the 6 m depth than at the two deeper depths. Additionally, there was a greater rate of biomass accumulation in year two at all depths. Biomass on these surfaces also varied with the time of year.
A talk on the results of this study was given at the Western Society of Naturalists conference in November. A master’s thesis and a manuscript on these results are both in preparation.
Research Progress 2002-2003
We are continuing to test whether selected early successional species inhibit, enhance, or have no effect, on the composition and rate of development of the invertebrate assemblage using field experiments at Platform Houchin. We are experimentally manipulating the abundance of three invertebrate taxa (barnacles, encrusting bryozoans, and colonial tunicates) that are important as early colonizers on ceramic tiles placed on Platform Houchin at three depths (6 m, 12 m, and 18 m). Each treatment involves the monthly removal of one taxon from the tile. These taxa were chosen based on their presence early in the successional sequences observed in 1999–2001. Preliminary observations suggest that encrusting bryozoans and colonial tunicates compete for primary space; encrusting bryozoans occur at a high % cover on tiles when colonial tunicates are removed while colonial tunicates occur at a high % cover when encrusting bryozoans are removed. Barnacles have continued to occur in low cover on all tiles.
We continued statistical analyses and interpretation of our results on species composition, biomass and percent cover of invertebrates that colonized tiles (15x15 cm) exposed for various time intervals (2, 4, 6, 12, 24 months) at depths of 6, 12, and 18 m at Platform Houchin. We also continued analyses of our results on the percent cover and biomass of invertebrates that colonized experimentally scraped 20 cm x 20 cm quadrats on conductor pipes and plastic mesh tuffys at depths of 6, 12, and 18 m at Platform Houchin from April 1999 to April 2001.
Percent cover of selected taxa on the tiles varied significantly over time, among depths, among dates of initial exposure of the surface, and between the two years of the study, with the greatest temporal effects evident at the 6 m depth. The cover of different invertebrate taxa over time was strongly influenced by depth and year. For example, barnacles accounted for 34% cover on the tiles after 12 months of exposure at the 6 m depth in 1999-2000. At the 12 and 18 m depths for this same treatment, barnacles occurred at 9% and 2% covers, respectively. In 2000-2001, the cover of barnacles was 66% after 12 months of exposure at 6 m, and at the 12 and 18 m depths, the cover of barnacles was 27% and 25%, respectively. The statistical analysis of our results on density and size of barnacles that colonized tiles (15x15 cm) exposed for various time intervals (2, 4, 6, 12, 24 months) at depths of 6, 12, and 18 m at Platform Houchin continued through the reporting period.
Biomass on both the experimental surfaces and the surface of the platform itself increased significantly over time at all depths, and varied among depths, with a greater rate of biomass accumulation at the 6 m depth than at the two deeper depths. There was also a greater rate of biomass accumulation in 2000-2001 at all depths on all surfaces. In addition, there was significantly greater biomass accumulation on the tiles than on the scraped platform surfaces.